Valguskiir. Valguse sirgjooneline levimine
Valgus levib ruumis lõpliku kiirusega – valgusallika „süttimisest“ kuni tema jõudmiseni mingisse ruumipunkti kulub mingi ajavahemik. Valguse kiirus vaakumis (ka õhus) on 300 000 km/s. Pinda, mis eraldab ruumi seda osa, kuhu valgus on jõudnud osast, kus valgust veel ei ole, nimetatakse lainefrondiks.
Videos lainefrondi levimine vees
Valguslaine frondi levimise kirjeldamiseks on võetud kasutusele valguskiire mõiste – valguskiir on mõtteline joon, mis näitab valguslaine levimissuunda ruumis.
Homogeenses keskkonnas on valguskiired alati sirgjooned.
Valgusvihk
Igapäevaelus saame jälgida mitte valguskiiri, mis on mõttelised jooned, vaid valgusvihkusid, mis oma olemuselt kujutavad paljudest valguskiirtest koosnevaid kimpe.
Valguskiirte asetus vihus iseloomustab vihus sisalduva valguse intensiivsust – mida tihedamalt on kiired, seda suurem on valguse intensiivsus vastavas ruumiosas.
Valgusvihkusid on sõltuvalt valguskiirte vastastikkusest asendist nendes kolme liiki:

Koonduvas valgusvihus lähenevad kiired üksteisele. Valgusvihus kiirte sihis edasi liikudes (valgusallikast eemaldudes) suureneb vihus sisalduv pinnaühikule langeva valgusenergia hulk.

Hajuvas valgusvihus eemalduvad kiired üksteisest. Valgusvihus kiirte sihis edasi liikudes (valgusallikast eemaldudes väheneb vihus sisalduv pinnaühikule langeva valgusenergia hulk.

Paralleelses valgusvihus asuvad kiired üksteisest igal pool ühekaugusel. Valgusvihus pinnaühikule langeva energia ei sõltu sellest millist kohta vihus vaadeldakse – valgusenergia jaotus vihus on homogeenne.
Vari

Kui valguse teele jääb valgust mitte läbilaskev keha, siis valguse sirgjoonelise levimise tõttu ei pääse valgus tema taha ning sinna tekib piirkond, kus valgusenergiat ei ole (või on oluliselt vähem) – vari.

Varjupiirkonnas viibides pole valgusallikat näha või näeb seda osaliselt või näeb ainult osasid allikaid. Sellist varjupiirkonda, kuhu valgusenergiat üldse ei jõua, nimetatakse täisvarju piirkonnaks.

Varjupiirkonda, kuhu langeb valgusallika valgus osaliselt või ainult osadelt valgusallikatelt, nimetatakse poolvarju piirkonnaks.

Kui valgusallikas on läbipaistmatust kehast palju suurem, tekib keha taha keerukas täis- (TV) ja poolvarjude (PV) süsteem. Täisvarjus viibides ei ole valgusallikat üldse näda, poolvarju piirkonnas on näha vaid mingisugune osa suurest valgusallikast.
Valguse peegeldumine. Peegeldumisseadus
Valgus levib ühtlases keskkonnas sirgjooneliselt, kuid jõudes kahe keskkonna lahutuspinnale, muudab valgus sellel oma levimise suunda.

Kui valgus jätkab peale levimissuuna muutust levimist samas keskkonnas, nimetatakse seda nähtust valguse peegeldumiseks.
Valguse peegeldumisel kehtib valguse peegeldumisseadus:
(1) valguse langemisnurk on alati võrdne peegeldumisnurgaga
(2) langev kiir, peegeldunud kiir ning langemispunktist tõmmatud pinnanormaal asuvad alati samal tasapinnal
Valguse peegeldumisseadus kehtib mistahes kujuga keskkondade lahutuspindade korral.


Peeglid. Kujutised
Peegel on sileda ja tugevasti valgust peegeldava pinnaga keha, mis tekitab esemetest, sealhulgas valgusallikatest optilisi kujutisi.
Punkti, kus peale peegeldumist lõikuvad peegeldunud valguskiired, nimetatakse selle punkti tõeliseks kujutiseks; punkti kus lõikuvad peegeldunud kiirte pikendused – näivkujutiseks.
Seega on punkti (keha) kujutis on koht, kus me näeme asuvat punkti (keha), millelt lähtunud peegeldunud valgus langeb meie silma.
Hiljem näeme, et kujutised tekivad ka kehalt lähtuva valguse murdumisel valguse üleminekul ühest keskkonnast teise.
Peegleid liigitatakse valgust peegeldava pinna kuju põhjal tasa-, kumer- ning nõguspeegliteks. Tasapeegli korral on peegeldavaks pinnaks tasapind. Kumer- ja nõguspeegli korral on peegeldavaks pinnaks aga kera pind: nõguspeeglil kera sisepind, kumerpeeglil kera välispind.
Kiirte käik peeglites
Valguse peegeldumist peegelpindadel kirjeldatakse valguse peegeldumise seaduse abil. Printsiip, et langemis ja peegeldumisnurk on alati võrdsed, kehtib igasuguse kujuga pindade puhul.
Tasapeeglile langev valgusvihk peegeldumisel oma kuju ei muuda. See tähendab, et paralleelne valgusvihk jääb paralleelseks, koonduv koonduvaks ja hajuv hajuvaks ka peale tasapeeglilt peegeldumist.
Koonduv valgusvihk jääb tasapeeglis koonduvaks
Hajuv valgusvihk jääb tasapeeglis hajuvaks
Kui valgus langeb peeglile peegelpinnaga risti, pöörduvad ta peale peegeldumist tuldud teed pidi tagasi ning seetõttu kattuvad langev- ja peegeldunud kiir teineteisega täielikult.
Paralleelne valgusvihk jääb tasapeeglis paralleelseks
Kõverpeegli peegelpinna keskpunkti O peegli kumeruse keskpunktiga C ühendavat sirget nimetatakse peegli peateljeks.
Nõguspeeglile langev paralleelne vihk muutub peale peegeldumist koonduvaks. Punkti, kus nõguspeeglilt peegeldunud kiired lõikuvad, nimetatakse selle peegli fookuseks.
Nõguspeegli peatelg ja fookus
Kumerpeeglile langev paralleelne vihk muutub peale peegeldumist hajuvaks. Punkti, kus lõikuvad kumerpeeglilt peegeldunud kiirte pikendused, nimetatakse selle peegli ebafookuseks.
Kumerpeegli peatelg ja (eba)fookus
Kiired, mis langevad kumer- või nõguspeeglile peegli fookuse sihis, langevad peeglile peegelpinnaga risti ning seetõttu kattuvad langev- ja peegeldunud kiir teineteisega täielikult.
Peegelpinnaga ristuvate kiirte käigud nõgus (ülemine) ja kumerpeeglil
Valguse murdumine
Homogeenses keskkonnas levib valgus ühtlase kiirusega ja sirgjooneliselt. Jõudes kahe keskkonna lahutuspiirile, muutub seal nii valguse kiirus kui ka suund – sirgest valguskiirest saab murdjoon
Nähtust, kus valgus muudab keskkondade lahutuspinnal oma levimise suunda ja siirdub ühest keskkonnast teise, nimetatakse valguse murdumiseks.
Kuna vees on valguse kiirus ca 1,33 korda väiksem kui õhus, siis on ka vees asuvalt kehalt meie silma langeva valguse suund teistsugune – me näeme osaliselt vees asuvat keha murdununa – vees asuvalt osalt meie silma langev valgus läbib silma jõudmiseks teistsuguse tee ning me näeme vees asuvat osa mitte seal kus ta tegelikult on, vaid seal kust langeb meie silma valgus.
Murdumisseadus
Valguse murdumisel kehtib murdumisseadus:
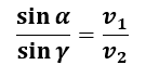
(1) valguse langemisnurga ja murdumisnurga siinused suhtuvad teineteisesse nagu lainete levimise kiirused vastavates keskkondades:

(2) langev kiir, murdunud kiir ning langemispunktist tõmmatud pinnanormaal asuvad alati samal tasapinnal.

Ka valguse murdumisseadus kehtib mistahes kujuga keskkondade lahutuspindade korral.
Langemis ja murdumisnurkade siinuste jagatist nimetatakse keskkondade vaheliseks suhteliseks murdumisnäitajaks. Kui üheks keskkonnaks on vaakum, nimetatakse murdumisnäitajat absoluutseks.

kus n12 – keskkondade suhteline murdumisnäitaja (loe n üks-kaks); v1 – valguse kiirus lähtekeskkonnas, v2 – kiirus sihtkeskkonnas.
Suhteline murdumisnäitaja iseloomustab mitu korda erineb valguse kiirus lähtekeskkonnas (I keskkonnas) valguse kiirusest sihtkeskkonnas (II keskkonnas).

kus n – keskkonna absoluutne murdumisnäitaja; v – valguse kiirus keskkonnas, c – valguse kiirus vaakumis.
Absoluutne murdumisnäitaja iseloomustab mitu korda on valguse kiirus keskkonnas aeglasem valguse kiirusest vaakumis.
Valguse dispersioon. Murdumisnäitaja seos valguse kiirusega
Vaakumis (peaaegu ka õhus) liiguvad igasuguse lainepikkusega elektromagnetlained sama kiirusega – 300 000 km/s.
Sattudes vaakumist erinevasse keskkonda ilmneb, et erineva lainepikkusega (sagedusega) valgus murdub keskkonnas erinevalt ehk liigub keskkonnas erineva kiirusega.
Valguse kiiruse sõltuvust valguse lainepikkusest nimetatakse valguse dispersiooniks.
Valge valgus on oma olemuselt liitvalgus – ta sisaldab endas kõiki värve. Läbides klaasi (või mõne muu keskkonna) “lõhustub” valgus tänu dispersioonile paljudeks värvilisteks valgusteks – spektriks.
Mida väiksem on valguse lainepikkus, seda rohkem ta keskkonnas murdub. Punane (pikema lainepikkusega) valgus kaldub esialgsest levimissuunast vähem kõrvale kui (lühema lainepikkusega) violetne valgus.
Võrdleme omavahel punase ja violetse valguse kiirusi keskkonnas:

Kuna langemisnurk α on mõlema värvi jaoks sama, aga γpunane > γvioletne, siis ka sinγpunane > sinγvioletne järelikult ka vpunane > vvioletne
Seega punane valgus liigub keskkonnas kiiremini kui violetne valgus.
Läätsed
Läätsed on sfääriliste (kumerate ja nõgusate pindadega piiratud läbipaistvad kehad), mille absoluutne murdumisnäitaja erineb ümbritseva keskkonna omast.
Sõltuvalt välispindade kujust, jagunevad läätsed kumer- ja nõgusläätsedeks.
Kumerläätsed on keskelt paksemad ning äärtelt õhemad
|
KAKSIKKUMER LÄÄTS |
TASAKUMER LÄÄTS |
NÕGUSKUMER LÄÄTS |
Nõgusläätsed on servadelt paksemad ning keskelt õhemad
|
KAKSIKNÕGUSLÄÄTS |
TASANÕGUS LÄÄTS |
KUMERNÕGUS LÄÄTS |
Kuna läätsede murdumisnäitaja erineb ümbritseva keskkonna omast, siis läätsest läbi minev valgus murdub. Sõltuvalt sellest millisele läätsele valgus langeb võivad läätsed kas koondada või hajutada valgust.
Kumerläätsed üldjuhul koondavad valgust – neid kutsutakse seetõttu koondavateks läätsedeks
Nõgusläätsed üldjuhul hajutavad valgust – neid kutsutakse seetõttu hajutavateks läätsedeks
Läätsi, millele langev paralleelne valgusvihk muutub koonduvaks, nimetatakse koondavaks läätseks. Läätsesid, kus paralleelne vihk muutub hajuvaks aga hajutavaks läätseks.
Läätse välispindade kumeruste keskpunkte ühendavat sirget nimetatakse läätse peateljeks.
Kui läätsele peateljega paralleelselt langevad kiired murduvad läätses ning koonduvad peale läätse läbimist peateljel asuvasse läätse fookuses, on tegu koondava läätsega. Kui läätsele peateljega paralleelselt langevad kiired murduvad läätses ning hajuvad peale läätse läbimist läätse peateljel asuvasse läätse ebafookuse, on tegu hajutava läätsega.
Fookuse kaugust läätsest nimetatakse läätse fookuskauguseks f.
Fookuskaugusega on seotud läätse optiline tugevus D:

Läätse optilist tugevust mõõdetakse dioptriates (1 dpt).

Koondava läätse fookuskaugus, järelikult ka optiline tugevus loetakse positiivseks, hajutaval läätsel aga negatiivseks.
Kui läätse materjali murdumisnäitaja on ümbritseva keskkonna murdumisnäitajast suurem, siis on kumerläätsed koondavad läätsed ning nõgusläätsed hajutavad. Kui läätse materjali murdumisnäitaja on ümbritseva keskkonna murdumisnäitajast suurem, on olukord vastupidine.
Kiirte käik läätsedes
Koondav lääts:


(1) Kiir, mis langeb läätsele paralleelselt optilise peateljega murdub peatelje poole ning läbib läätse fookuse.


(2) Kiir, mis langeb läätse keskpunkti, läheb läätsest murdumata läbi
Hajutav lääts:


(1) Kiir, mis langeb läätsele paralleelselt optilise peateljega murdub läätse ebafookuse sihis peateljest eemale.


(2) Kiir, mis langeb läätse keskpunkti, läheb läätsest murdumata läbi
Kujutiste konstrueerimine peeglites ja läätsedes.
Punkti kujutise konstrueerimiseks peame joonestama vähemalt kahe punktist lähtuva kiire käigud arvestades peegeldumis- ja/või murdumisseadusi.
Kuna oleme näinud, et teatavate kiirte käik peeglis peegeldumisel või läätses murdumisel on lihtsamini ennustatav kui suvalistel, on punkti kujutise konstrueerimisel mõistlik kasutada just neid kiiri.
Eseme kujutise konstrueerimiseks tuleb konstrueerida kujutised eseme igast punktist.
Olles konstrueerinud kahe kiire käigud, tuleb leida peegeldunud või murdunud kiirte lõikepunktid. Kui kiired peale peegeldumist või murdumist hajuvad, pikendame peegeldunud/murdunud kiiri peegli/läätse taha ning leiame nende pikenduste lõikepunkti.
Kui lõikuvad peegeldunud/murdunud kiired, on tegu punkti (eseme) tõelise kujutisega. Kui lõikuvad kiirte pikendused, nimetatakse kujutist näivkujutiseks.
Kujutise konstrueerimine tasapeeglis
Tasapeegli korral eelistatud kiired puuduvad. Kujutise konstrueerimiseks tuleks valida kaks suvalist kiirt, mõõta nende langemisnurgad ning joonestada nendega võrdsed peegeldumisnurgad. Siiski on võimalik joonestusprotsessi lihtsustada kasutades ühe kiirena kiirt, mis langeb punktist peeglile risti peegelpinnaga – selline kiir pöördub peale peegeldumist tuldud teed pidi tagasi – langev ja peegeldunud kiir kattuvad.
Kujutise konstrueerimine nõguspeeglis
Nõguspeegli korral oli eelistatud kiireks peegli peateljega paralleelne kiir. See peegeldub selliselt, et peegeldunud kiired koonduvad peegli fookuses. Teise kiirena on mõistlik kasutada punktist radiaalselt (raadiuse sihis) peeglile langevat kiirt. See on peegelpinnaga risti ning pöördub peale peegeldumist tuldud teed pidi tagasi – langev ja peegeldunud kiir kattuvad.
Kujutise konstrueerimine kumerpeeglis
Ka kumerpeegli korral oli eelistatud kiireks peegli peateljega paralleelne kiir. See peegeldub selliselt, et peegeldunud kiired hajuvad peegli ebafookuse sihis. Teise kiirena on kumerpeegligi korral mõistlik kasutada punktist radiaalselt (raadiuse sihis) peeglile langevat kiirt. See on peegelpinnaga risti ning pöördub peale peegeldumist tuldud teed pidi tagasi – langev ja peegeldunud kiir kattuvad.
Kujutuse konstrueerimine koondavas läätses
Koondavas läätses olid ennustatava käiguga kiirteks (1) kiir, mis langeb läätsele paralleelselt peateljega, murdub ja läbib läätse fookust ja (2) kiir, mis langeb läätse keskpunkti, läheb läätsest murdumata läbi. Kuna kiirte käigud on pööratavad saab vajadusel kasutada ka (3) kiirt, mis langeb läätsele läbi fookuse – see murdub läätses ning jätkab levimist paralleelselt läätse peateljega.
Kujutise konstrueerimine hajutavas läätses
Hajutavas läätses olid ennustatava käiguga kiirteks (1) kiir, mis langeb läätsele paralleelselt peateljega, murdub peateljest läätse ebafookuse sihis eemale (tema pikendus läbib läätse ebafookust), (2) kiir, mis langeb läätse keskpunkti, läheb läätsest murdumata läbi. Ka hajutava läätse puhul võib vajadusel kasuta teist kiirt pööratud kujul: (3) kiir, mis langeb läätsele fookuse sihis murdub läätses ja jätkab levimist peale läätsest väljumist paralleelselt läätse peateljega
Läätse valem
Valemit, mis seob omavahel eseme kauguse (a), kujutise kauguse (k) ning läätse fookuskauguse (f) omavahel, nimetatakse (õhukese) läätse valemiks:

Kõigi kiirte lõikepunktide kaugusi mõõdetuna läätsest loetakse valemis positiivseks, kiirte pikenduste lõikepunktide kaugust mõõdetuna läätsest loetakse aga negatiivseks.
Läätse valemi saame kirjutada ka läätse optilise tugevuse (D) abil:

Läätse suurendus
Läätse suurendus (s) iseloomustab mitu korda erinevad kujutise joonmõõtmed – näiteks kujutise pikkus ekraanil (H) eseme joonmõõtmete suurusest – näiteks eseme pikkusest (h)

Saab näidata, et analoogiline seos kehtib ka kujutise kauguse (k) ja eseme kauguse (a) vahel:

Kui s>1, siis on kujutis suurendatud, kui s<1, siis vähendatud. NB! Et kujutise kaugus või teatavates olukordades olla negatiivne, tuleks rangelt võttes läätse suurenduse valemis kasutada vastavate suuruste absoluutväärtusi.
Valguse kiirgumine ja neeldumine
Valguse kiirgumise ja neeldumise kirjeldamiseks, peame mõistma aatomi siseehituse eripära.
Aatomi energia on määratud tuuma ja elektronide vastastikmõju energiatega. Siinjuures tuleb rõhutada, et aatomi energia ei saa omada suvalisi väärtusi vaid ainult kindlaid. Öeldakse, et aatomi energia on kvanditud (omab diskreetseid väärtusi). See on omakorda tingitud asjaolust, et elektronid saavad paikneda aatomist ainult kindlatel kaugusel – energiatasemetel.
Joonisel kujutatud elektroni lubatud energiatasemed on määratud peakvantarvudega, mida kujutatakse joonisel energia teljega ristuvate joontena ning tähistatakse n=1, 2, 3 jne.
Kõige madalam energiatase (n=1) vastab elektroni minimaalsele lubatud kaugusele tuumast. Kui elektron satub kõrgemale energiatasemele (n=2, 3 jne), siis öeldakse, et aatom on ergastatud. Kuna looduses kehtib energiamiinimumi printsiip, siis püüab süsteem minna alati sellisesse olekusse, kus tema energia on minimaalne – nii ka aatom.
Kui aatom läheb kõrgema energiaga kvantolekust madalama energiaga olekusse, siis kiiratakse üks valgusportsjon – footon (kvant). Kui aatom läheb aga madalama energiaga kvantolekust suurema energiaga olekusse, siis vastav kvant neelatakse.
Kvandi energia on võrdne ühest küljest energiatasemete erinevusega:
![]()
teisalt aga võrdeline kiiratava/neelatava footoni sagedusega (f):

kus h=6,63∙10-34Js on Plancki konstant.
Kuna iga keemilise elemendi aatom saab olla vaid temale omastes kvantolekutes, siis kiirgavad kõigi keemiliste elementide aatomid ainult neile ainuomase sagedusega (energiaga) footoneid, kusjuures sama aine poolt kiirtavate footonite spekter on identne ning seda intensiivsem, mida suurem on vaadeldava elemendi kontsentratsioon kiirguvas aines.
Valguse spektrid
Vaatlustega on kindlaks tehtud, et keha poolt kiiratav valgus koosneb erinevat värvi ja erineva kiirgusega komponentidest ehk moodustab teatava spektri. Spekter iseloomustabki kiiratava (või ka neelatava) valguse intensiivsuse jaotumist lainepikkuste (või sageduste) järgi.
Eristatakse kahte liiki spektreid:
(1) PIDEVSPEKTRID, mida kiirgavad kõik kuumad tahked kehad, vedelikud ja suure tihedusega gaasid

Pidevspektris on esindatud kõik värvid, tema kuju oleneb aga peamiselt aine temperatuurist – mida kõrgem see on, seda suurem valguskiirguse intensiivsus. Pidevspektri kõige intensiivsema osa põhjal on võimalik üsna täpselt määrata kindlaks kiirguva keha temperatuur. Mida kõrgem on hõõguva aine temperatuur, seda suurema sagedusega (violetsemat) valgust see aine kiirgab.
(2) JOONSPEKTRID, mida annavad kõik gaasilised ained madalal rõhul.

Kui gaas on kuum, on tegu kiirgusspektriga – helenduvad jooned tumedal taustal, kui aga gaas on külm, siis neeldumisspektriga – tumedad jooned pidevspektri taustal. On märgatud, et külm gaas neelab täpselt sama sagedusega (lainepikkusega) valgust, mida ta kuumutatult kiirgab.
Spektraalaparaadid
Seadmeid, mida kasutatakse spektrite saamiseks nende uurimise eesmärgil, nimetatakse spektraalaparaatideks.

Spektraalaparaatideks on spektroskoop, spektrograaf ja spektromeeter. Aparaatide erinevus seisneb valguse registreerimise viisis:
(1) spektroskoobis toimub see visuaalselt (silmaga),
(2) spektrograafis fotograafiliselt (fotoelemendile, fotopaberile) ning
(3) spektromeetris elektriliselt.
Lihtsaima spektraalaparaadi valmistamiseks on tarvis (1) valgusallikat, (2) sisenemispilu – kollimaatorit, (3) kolmnurkset klaasprismat ja (4) ekraani.
Kollimaatoris toimub valgusvihu muutmine kitsaks valgusribaks, tavaliselt kasutatakse veel ka läätsede süsteemi, et tekkiv valgusvihk oleks võimalikult paralleelne. Paralleelne valgusvihk langeb klaasprismale, kus toimub dispersioon – valgus laguneb erineva lainepikkusega laineteks, mis väljuvad prismast erinevates suundades. Spektriks lõhustunud valgus püütakse ekraanile või mõõteseadmesse.
Spektraalaparaate kasutatakse spektraalanalüüsi abil kehade keemilise koostise kindlaks tegemiseks.
Spektraalanalüüs
Valgus tekib aatomites (täpsemalt tekitavad valgust aatomite väliskihi elektronid) – järelikult on võimalik keha poolt kiiratavat valgust – spektrit – spektraalaparaatidega uurides saada infot aatomite ja aine ehituse kohta.
Monokromaatilisel ehk kindla sagedusega (lainepikkusega) valgusel lastakse langeda uuritavale ainele, seejärel mõõdetakse kui palju ja millise sagedusega valgus aines neeldub.


Iga aine neeldumis- ja/või kiirgumisspekter (kiirgusmaksimumid erinevatel lainepikkustel) on unikaalne, seetõttu ongi nende abil võimalik kindlaks teha kehade keemilist koostist. Vastavat teadusharu nimetatakse spektraalanalüüsiks.
Spektraalanalüüsi eelisteks keemilise ees on asjaolu, et analüüsimisel ei muutu aine keemiline koostis, samuti on spektraalanalüüsi võimalik rakendada juba väga väikeste ainekoguste juures.

Tänu spektraalanalüüsile avastati Maal (aga eriti Universumis) üsna levinud keemiline element heelium. Heelium on teatavasti inertgaas, mis ei astu keemilistesse reaktsioonidesse peaaegu ühegi teise keemilise elemendiga. Seetõttu avastati heelium esmalt Päikese spektrit uurides ja alles seejärel Maal.
Tähtede spektreid uurides avastati, et enamik nendest kiirgab enam-vähem sarnase spektriga valgust. Tähed koosnevad peaasjalikult vesinikust ja heeliumist, kuid enamiku tähtede puhul oli heeliumile iseloomulik joonte paar nihutatud spektri pikemalainelise ehk punasema osa suunas.
See on seletatav Doppleri efektiga – eemalduva laineallika poolt tekitatavate lainete lainepikkus muutub paigalseisva allika omast pikemaks. Tähtede puhul nimetatakse seda nähtust ka punanihkeks. See avastus pani aluse paisuva Universumi ning Suure Paugu teooriale.
Soojuskiirgus ja luminestsents
Soojuskiirguseks nimetatakse aatomite poolt kiiratavat elektromagnetkiirgust, kus aatomite ergastamine toimub soojusenergia arvelt.
Mida kõrgem on aine temperatuur, seda kiiremini aineosakesed (aatomid, molekulid) liiguvad. Soojusliikumise käigus aineosakesed põrkuvad ning nende põrgete tulemusena võivad mõned aatomid ergastuda. Kui ergastunud aatom läheb tagasi madalaima lubatud energianivooga põhiolekusse, toimub elektromagnetlaine kvandi (footoni) kiirgamine.
Soojuskiirguse intensiivsus sõltub (1) keha temperatuurist – kõrgema temperatuuriga kehad kiirgavad intensiivsemalt; (2) kiirgava keha pindalast – suurema pindalaga kehad kiirgavad intensiivsemalt ning (3) kiirgava keha värvusest – tumedamad kehad kiirgavad intensiivsemalt.
Soojust kiirgavad kõik soojad kehad – hõõglamp, leek, ka inimesed ja püsisoojased loomad.
Elektromagnetilist kiirgust, mis tekib aatomite ergastamisel teiste energialiikide, mitte soojuse, arvelt, nimetatakse luminestsentsiks. Kuna luminestsentsi tekkimine ei eelda kõrget temperatuuri, siis nimetatakse luminestsentsi ka „külmaks valguseks“.
Luminestsentsi liigitatakse:
(1) fotoluminestsentsiks – ergastamise allikaks on ultravalgus. Fotoluminestsents on iseloomulik luminofooridele. Luminofoor on aine (pulber, kristall, keraamika), mille neeldunud energia vabastab footonite kiirguse. Järelhelenduse kestuse järgi saab luminofoore liigitada järgmiselt: fluorofoorid ja fosfoorid. Fluorofooride puhul jälgitakse fluorestsentsi, mille kiirguse kestvus on määratud aatomi, iooni või molekuli s.t luminestsitsentri ergastatud seisundi eluea järgi. Fosfooride puhul leiab aset fosforestsents ning selle protsessi puhul võib järelhelendus kesta ka tunde.
(2) katoodluminestsentsiks – ergastamise allikaks on kiirete elektronide juga;
(3) radioluminestsentsiks – ergastamise allikaks on radioaktiivne kiirgus;
(4) elektroluminestsentsiks – ergastamise allikaks on elektriväli (ja/või elektrivool) – fotol on näha elektolmuminestseeruvate elementidega riided;
(5) kemoluminestentsiks – ergastamise allikaks on keemiline reaktsioon ning
(6) bioluminestentsi – ergastamise allikaks on biokeemiline reaktsioon.
Fotod erinevatest luminestsentsidest:
|
Evakuatsioonitee on märgistatud fotoluminessteeruva värviga – luminofooriga |
Elektronkiiretorudes (vanaaegsed kineskoobid) kasutatakse helenmduse tekitamiseks katoodluminestsentsi |
|
|
![]() Elekroluminestseeruvad elemendid riietusel saavad helendamiseks vajaliku elektrivälja energia tavaliselt väikestelt akudelt |
|
Signaaltorukesed on täidetud erilise ainetega, mis omavahel reageerides tekitavad kemoluminestentsi |
Jaanimardikate poolt kiiratav valgus on bioluminestsentsi tulemus. |












You must be logged in to post a comment.